• 标题搜索
  • 站内搜索
  • 网站首页
  • 书法篆刻
  • 书法字帖
  • 碑帖长卷
  • 名家书法
  • 书法资料
  • 名家手迹
  • 会员专栏
返回
名家手迹 > 名人手迹
字+
◆◆
  • 小
  • 中
  • 大

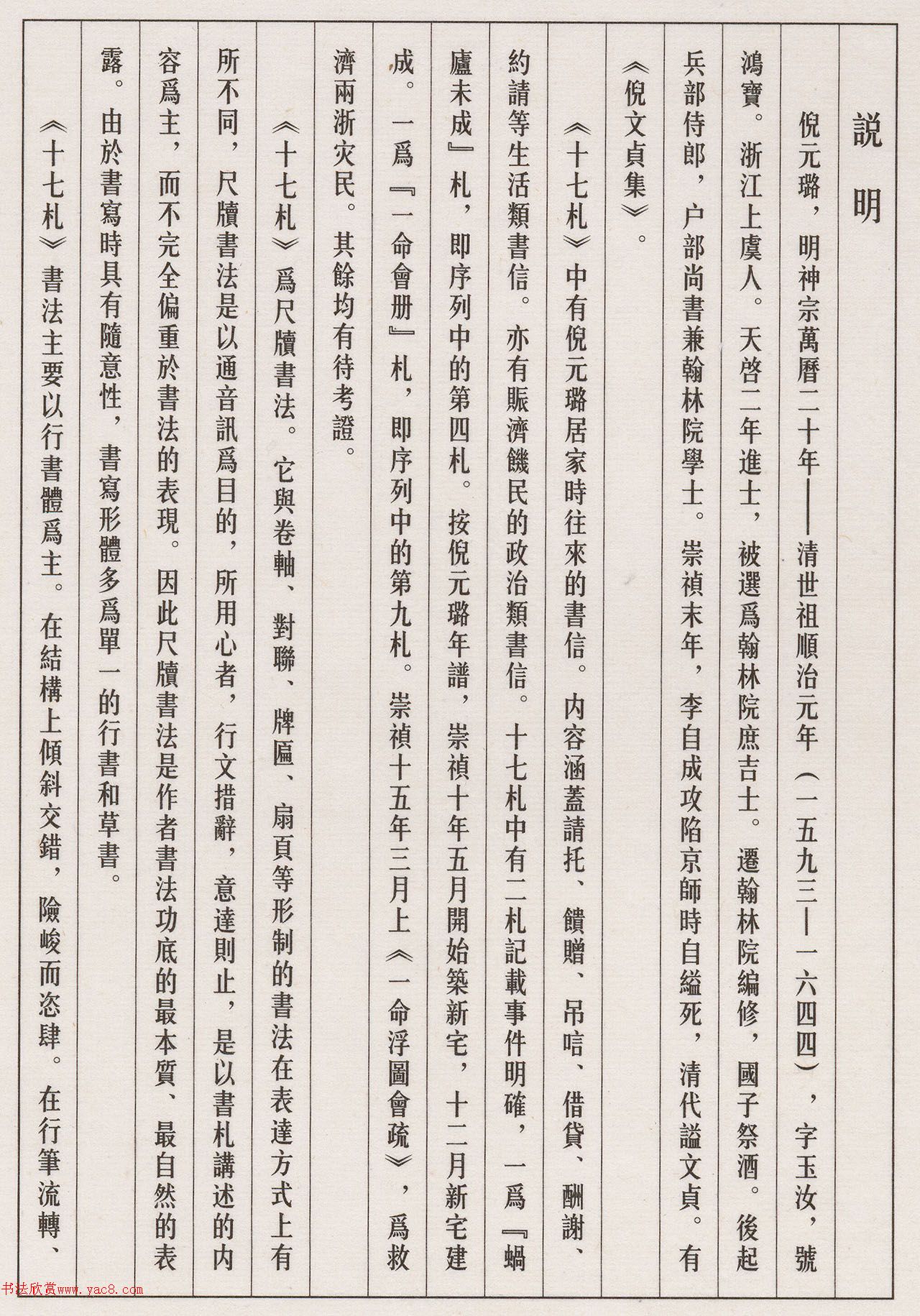
倪元璐行书十七札册(5)

2024/12/7    作者:书法欣赏    来源:www.yac8.com    阅读:3163

倪元璐行书十七札册倪元璐行书十七札册倪元璐行书十七札册倪元璐行书十七札册倪元璐行书十七札册
  • 上一页
  • 跳页
  • 下一页

上一条

明代著名谏官杨涟书法尺牍

下一条

陈文忠公十四札册伊秉绶补写三札

  • 相关文章
  • 热门文章
  • 清代黄钺楷书扬言俪藻册

  • 元朝著名诗人方回行书《台翰帖》

  • 梁同书行草真迹柳州文卷

  • 沈尹默楷书《临化度寺碑》

  • 成亲王永瑆为陈伯恭临《兰亭序》

  • 王文治行书《宋贤长江万里卷题记》

  • 黄钺楷书和诗庆赏先春册

  • 赵孟頫行书《赵魏公十二札真迹》册(上博藏)

  • 蒋中正书法作品欣赏

  • 沈尹默小楷手稿真迹欣赏《谈书法》

  • 清世宗雍正皇帝书法墨迹欣赏

  • 演艺界大腕唐国强书法作品欣赏

  • 著名作家张贤亮书法作品欣赏

  • 书法作品集《清翰林等科举名家墨迹藏珍》

  • 康生书法作品手迹

  • 著名作家余秋雨书法作品欣赏

书法欣赏 © 2015 苏ICP备09026750号-2
【电脑版】  【回到顶部】
  • 首页
  • 书画
  • 分享
  • 投稿