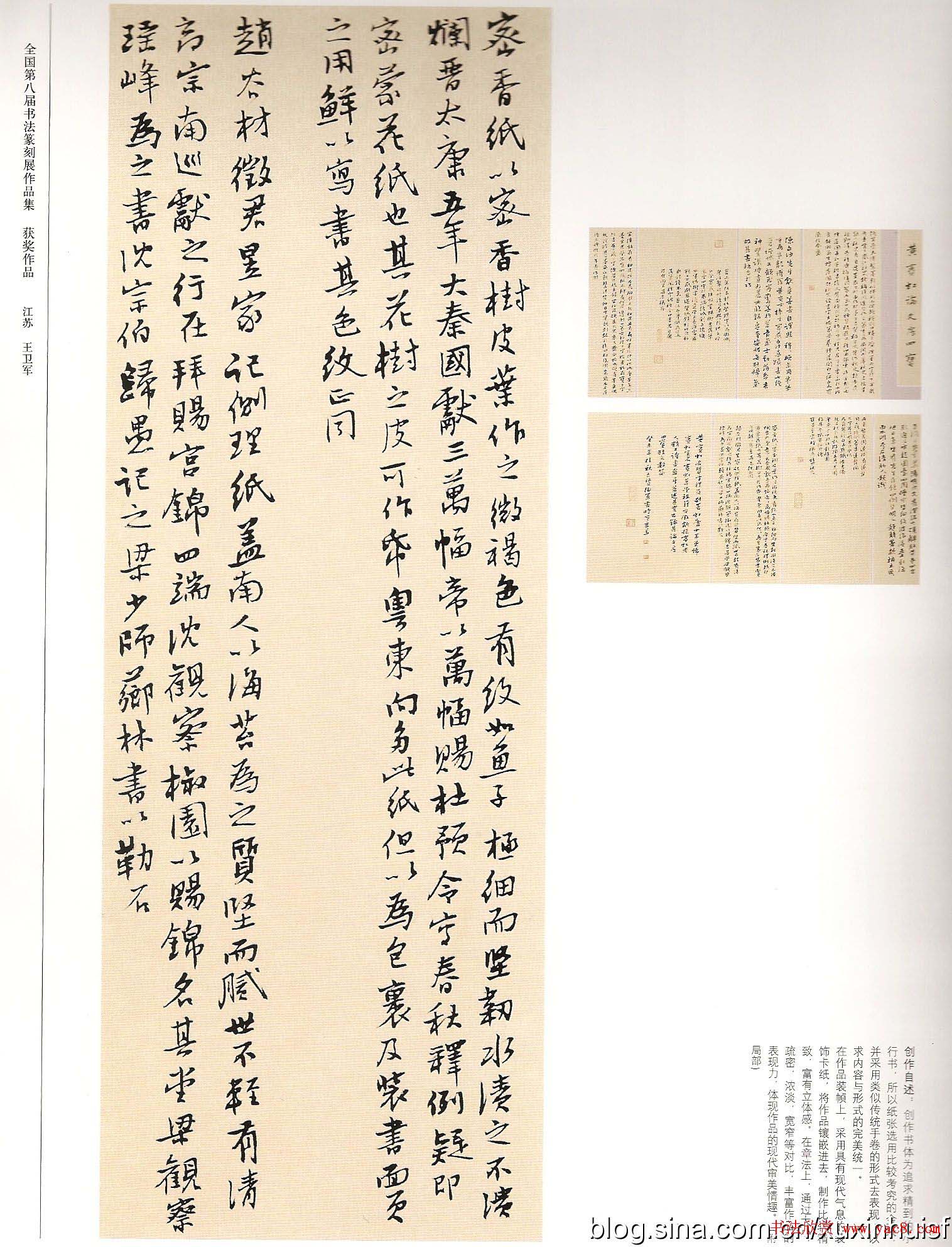
第八届全国书法篆刻展获奖作品(5) 2013/1/3 作者:书法欣赏 来源:yac8.com 阅读:123415 上一页跳页下一页 上一条 伯温碑林名家书法邀请展 下一条 江苏省书法院成立首次作品展览巡展