标题搜索
站内搜索
网站首页
书法篆刻
书法字帖
碑帖长卷
名家书法
书法资料
名家手迹
会员专栏
返回
碑帖长卷
>
书法碑帖
字
+
◆
◆
小
中
大
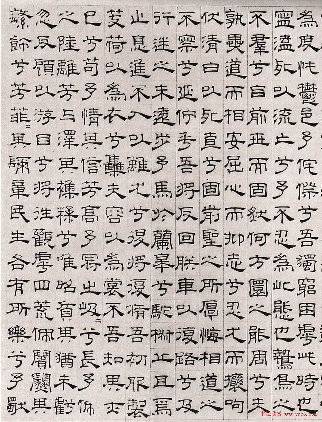
吴叡隶书《离骚》欣赏(4)
2012/4/15 作者:书法欣赏 来源:yac8.com 阅读:
26505
上一页
跳页
下一页
上一条
褚遂良书法《大字阴苻经》墨迹欣赏
下一条
文彭草书谢惠连雪赋册
相关文章
热门文章
刘炳森老师何二水书法作品欣赏
王守仁书法拓片《阳明诗》
东汉隶书欣赏《汉巴郡朐忍令景云碑》
莫友芝隶书作品欣赏《汉乐章》
刘炳森隶书字帖欣赏《岳阳楼记》
硬笔字帖隶书变体千字文
汉隶之最可师法者《乙瑛碑》
清朝重臣阮元隶书《小沧浪亭雅集诗序》
“魏碑第一”《张猛龙碑》拓片欣赏
东汉隶书碑帖欣赏《曹全碑》
隶书楷模《礼器碑》汉隶第一
唐李邕书法欣赏《李思训碑》二玄社高清版
王羲之书法集字《普觉国师碑铭帖》
欧阳询《九成宫醴泉铭》日本端方(三井)旧藏本
张旭草书《李清莲序》高清书法图片欣赏
智永书法墨迹《真草千字文》附跋
书法欣赏 © 2015 苏ICP备09026750号-2
【电脑版】
【回到顶部】