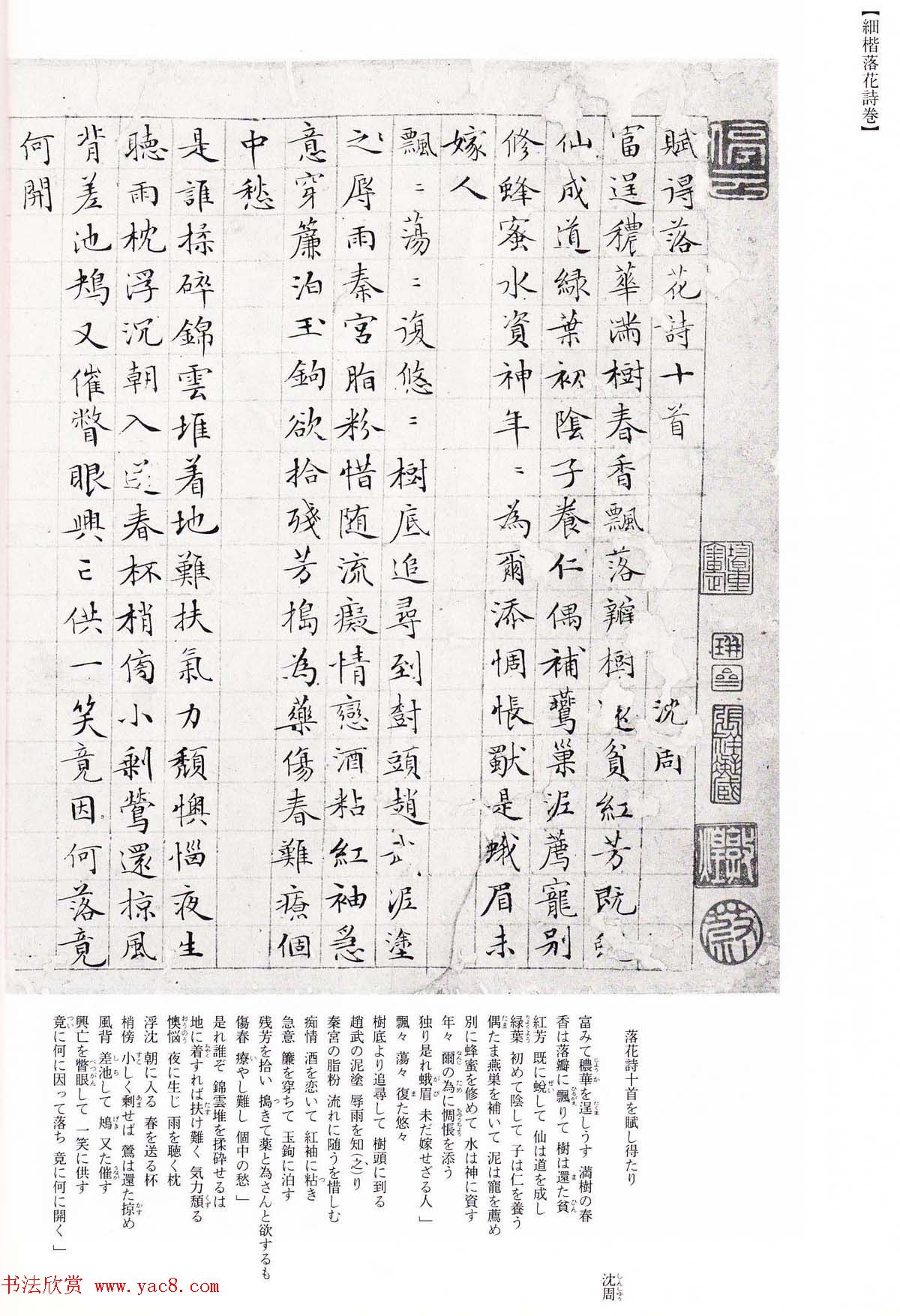
文徵明细楷落花诗十首卷日本二玄社版 2015/1/17 作者:书法欣赏 来源:www.yac8.com 阅读:82922 文徵明细楷落花诗卷日本二玄社版,沈周老年丧子赋得《落花诗》十首以寄托哀思,衡山居士高清晰小楷图片17张。 上一页跳页下一页该文章所属专题:文徵明书法 上一条 明末清初行草书大师王铎行草诗册欣赏 下一条 文徵明行书诗轴欣赏《剡藤湘竹巧裁将》